En este apartado, veremos dos nuevos conceptos llamados Teorema del Resto y Teorema del Factor. Pretendemos aplicar estos teoremas para obtener el resto y los factores de polinomios más complejos. Antes de empezar, recordemos los siguientes métodos para dividir polinomios. Esto nos ayudará a comprender la relevancia de los teoremas para hallar el resto y los factores de un polinomio.
Componentes en la división
Podemos expresar un dividendo como
Dividendo = (Divisor x Cociente) + Resto
Esto se conoce como el Algoritmo de la División. Del mismo modo, podemos escribirlo como la siguiente expresión:
.
Digamos que dividimos 250 entre 7. Aquí, 250 es el dividendo y 7 es el divisor. Resolviendo esto obtenemos un cociente de 35 y un resto de 5. Esto se puede escribir como:
Si el resto es cero, el divisor se convierte en un factor del número, es decir
Dividendo = Factor x Cociente
En este caso, escribimos:
.
Recapitulación sobre la división larga
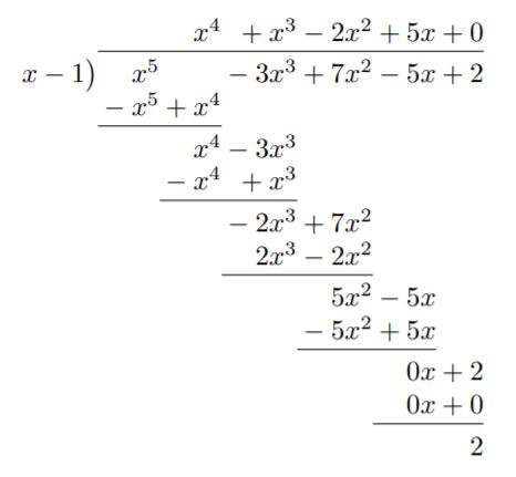
El concepto anterior se aplica a los polinomios de forma similar. Considera la siguiente función polinómica.
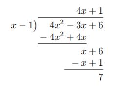
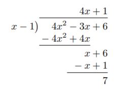
Utiliza la división larga para dividir el polinomio por (x - 1).

División larga, Aishah Amri - StudySmarter Originals
De esto deducimos que
donde
Resumen de la división sintética
Otra forma de dividir polinomios es mediante la división sintética. Tomemos el mismo ejemplo anterior para mostrar este método. ¿Coinciden los residuos entre sí?
A continuación encontrarás un ejemplo detallado que describe la división sintética:

División sintética, Aishah Amri - StudySmarter Originals
Como antes, obtenemos un resto de 7.
El teorema del resto
El Teorema del Resto es un método utilizado para hallar el resto de un polinomio cuando se divide por un polinomio lineal. El término polinomio lineal se refiere aquí a un polinomio de primer grado. Suele tener la forma
.
A continuación se expone el Teorema del Resto junto con su demostración.
Teorema del resto
Si p es un polinomio y p se divide por (x - a), el resto es p(a).
La forma general del teorema del resto se expresa entonces como
.
donde p es el dividendo, (x - a) es el divisor, q es el cociente y p(a) es el resto.
Demostración del teorema del resto
Sea p un polinomio dividido por (x - a), donde a es un número real. El algoritmo de la división es
Introduciendo x = a en la ecuación anterior, obtenemos
Por tanto, el resto de r es
como dice el Teorema del Resto.
Apliquemos el Teorema del Resto a nuestro ejemplo anterior para demostrarlo.
Utiliza el Teorema del Resto para hallar el resto del polinomio cuando se divide por . ¿Nos da el mismo resultado que la división larga?
Solución
Por el Teorema del Resto, sabemos que el resto es f(1). A partir de nuestro polinomio dado, tenemos
Por tanto, el resto es 7, como hemos deducido antes mediante la división larga.
Consideremos ahora la aplicación de este concepto a polinomios de grados superiores. A continuación te mostramos dos ejemplos prácticos.
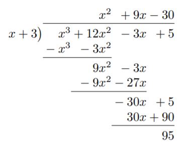
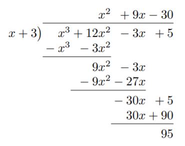
Utiliza el Teorema del Resto para hallar el resto del polinomio cúbico al dividirlo por(¡cuidado con el signo!). A continuación, aplica la división larga para comprobar el resultado.
Solución
Según el Teorema del Resto, el resto es f(-3). Resolviendo esto se obtiene
Por tanto, el resto es Utilicemos ahora la división larga para confirmarlo:

De nuevo, obtenemos un resto de 95.
Aplica el Teorema del Resto para evaluar el resto del polinomio al dividirlo por . A continuación, utiliza la división larga para confirmar la respuesta.
Solución
Según el Teorema del Resto, el resto es f(1). Evaluando esto se obtiene
Por tanto, el resto es Practiquemos ahora la división larga para comprobarlo:

Como antes, el resto es 2.
Teorema del factor
El Teorema del Factor es una fórmula utilizada para factorizar completamente un polinomio en un producto de n factores. La variable n se refiere al número de factores que tiene el polinomio. Una vez que hemos factorizado completamente el polinomio, podemos hallar las soluciones de la ecuación dada por el polinomio igual a cero. En otras palabras, podemos obtener las raíces del polinomio. Lo hacemos aplicando la Propiedad del Producto Cero del tema de Factorización de Polinomios. A continuación se expone el Teorema del Factor junto con su demostración.
Teorema del factor
Un polinomio p tiene un factor (x - a) si y sólo si el resto p(a) = 0.
La forma general del teorema del factor se expresa entonces como
donde p(x) es el dividendo, (x - a) es el factor y q(x) es el cociente.
Demostración del teorema del factor
Sea p un polinomio dividido por (x - a), donde a es un número real. Si (x - a) es un factor de p, entonces
Si se introduce x = a en la ecuación, se obtiene
Por tanto, a es una raíz de p. A la inversa, si a es una raíz de p, entonces el resto debe ser igual a cero, es decir Por el Teorema del Resto, sabemos que
Sustituyendo en la ecuación anterior nos da
Así pues, (x - a) es efectivamente un factor de p(x). Por tanto, hemos demostrado el Teorema del Factor.
Veamos el siguiente ejemplo.
Utiliza el Teorema del Factor para determinar si x - 1 es un factor del polinomio . En caso afirmativo o negativo, utiliza la división sintética para verificar el resultado.
Solución
Por el Teorema del Factor, si x - 1 es un factor de entonces el resto, f(1) debe ser igual a cero. Calculando f(1), encontramos que
Por tanto, x - 1 es un factor de f(x). Por división sintética, observamos que

Aquí vemos claramente que el resto también es cero.
Pasemos ahora a aplicar el Teorema del Factor a los polinomios de grado superior a dos. Aquí tenemos dos ejemplos trabajados para demostrarlo.
Utiliza el Teorema del Factor para demostrar si el binomio x + 2 es un factor del polinomio cúbico . Después, utiliza la división sintética para confirmar este resultado.
Solución
Por el Teorema del Factor, si x + 2 es un factor de entonces el resto, f(-2) debe ser igual a cero. Calculando f(-2), obtenemos
Por tanto, x + 2 es un factor de f. Utilicemos ahora la división sintética para comprobar nuestros resultados.

Así, el resto es efectivamente cero y el resultado coincide con el Teorema del Factor.
Aplica el Teorema del Factor para determinar si el binomio x - 1 es un factor del polinomio cúbico . Después, utiliza la división sintética para verificar este resultado.
Solución
Por el Teorema del Factor, si x - 1 es un factor de entonces el resto, f(1) debe ser igual a cero. Evaluando f(1), obtenemos
Por tanto, x - 1 es un factor de f(x). Aplicamos ahora la división sintética para confirmar nuestro resultado.

De nuevo, obtenemos un resto igual a cero. Por tanto, el resultado concuerda con el Teorema del Factor, como antes.
Encontrar soluciones de polinomios mediante el teorema del factor
Como ya hemos dicho, el Teorema del Factor interviene en la factorización completa de un polinomio. Por tanto, nos ayudará a encontrar soluciones del polinomio. Al hacerlo, es útil utilizar la división sintética (o división larga) para deducir el cociente asociado al factor del polinomio. Tomaremos los dos ejemplos anteriores para demostrarlo.
Resuelve el polinomio cúbico .
Solución
Del ejemplo trabajado anterior hemos deducido que x + 2 es un factor de f. Además, la división sintética nos dice que el cociente asociado a este divisor es el polinomio Observa que se obtiene a partir de los coeficientes de la última fila de la división sintética. Por tanto, el polinomio tendrá la forma
El trinomio cuadrático puede factorizarse aún más utilizando las técnicas de factorización del tema anterior: Factorización de polinomios. Al hacerlo, obtenemos la forma factorizada
Utilizando la propiedad del producto cero, tenemos
Resolviendo esto obtenemos 3 soluciones
Encuentra las soluciones del polinomio .
Solución
Del mismo modo, hemos encontrado que x - 1 es un factor de f. La división sintética nos dice que el cociente asociado a este divisor es el polinomio . Por tanto, el polinomio tendrá la forma
Podemos factorizar el trinomio cuadrático Así, la forma factorizada completa pasa a ser
Aquí obtenemos
Por tanto, tenemos 3 raíces:
Teoremas del resto y del factor para divisores de la forma (ax - b)
Hasta ahora sólo hemos estudiado los divisores de la forma lineal, . Ahora examinaremos otra forma lineal que pueden adoptar los divisores, a saber, . A continuación se muestra la fórmula estándar para este tipo de divisor en relación con los Teoremas del Resto y del Factor.
Teoremas del resto y del factor para el divisor (ax - b)
Si p es un polinomio cualquiera y p se divide por (ax - b), entonces el resto es
Si entonces (ax - b) es un factor de p.
Observa nuestro último ejemplo con el polinomio . En la forma completamente factorizada, vemos que (3x + 1) resulta ser un factor del polinomio. Utilicemos el Teorema del Factor para comprobarlo:
Según el Teorema del Factor, si (3x + 1) es un factor de entonces el resto debe ser igual a cero. Calculando obtenemos
Por tanto, (3x + 1) es un factor de f, como es debido.
Volvamos al mismo ejemplo. Esta vez, utilicemos el Teorema del Resto para hallar el resto del polinomio cuando se divide por (5x - 7) .
Según el Teorema del Factor, si (5x - 7) se divide por entonces el resto es Calculando
Entonces el resto es .
Teorema del Resto vs. Teorema del Factor
En este apartado resumiremos las diferencias entre el Teorema del Resto y el Teorema del Factor. La tabla siguiente describe esta comparación.
| Teorema del resto | Teorema del factor |
| Si p(x) es un polinomio y p(x) se divide por (x - a), entonces el resto es p(a) | Un polinomio p(x) tiene un factor (x - a) si y sólo si el resto p(a) = 0 |
| Asocia el resto de la división por un binomio con el valor de una función en un punto | Asocia los factores de un polinomio a sus raíces. |
| Sirve para hallar el resto de un polinomio cuando se divide por un polinomio lineal | Sirve para factorizar completamente un polinomio en un producto de n factores |
Teoremas del resto y del factor - Puntos clave
- El Teorema del Resto asocia el resto de la división por un binomio con el valor de una función en un punto.
- El Teorema del Resto se utiliza para hallar el resto de un polinomio cuando se divide por un polinomio lineal.
- Teorema del resto: Si p(x) es un polinomio y p(x) se divide por (x - a), entonces el resto es p(a).
- El Teorema del Factor asocia los factores de un polinomio a sus raíces.
- El Teorema del Factor se utiliza para factorizar completamente un polinomio en un producto de n factores.
- Teorema del factor: Un polinomio p(x) tiene un factor (x - a) si y sólo si el resto p(a) = 0.